REVISTA PERUANA DE INVESTIGACIÓN EDUCATIVA
2025, No. 22
ISSN: 2077-4168
https://doi.org/10.34236/rpie.v17i22.605
Escuelas privadas de bajo costo y su contribución
en la segregación escolar
Sandra Carrillo
Instituto de Estudios Peruanos
https://orcid.org/0000-0003-2871-4702
Recibido: 19/11/2025
Aprobado: 27/01/2026
Resumen
Este estudio tiene como objetivo identificar el papel de las escuelas privadas de bajo costo en la segregación escolar por nivel socioeconómico en Lima. Para ello, se realiza una explotación de los microdatos de 4.o grado de primaria de la Evaluación Censal de Estudiantes (ECE) del 2018 del Ministerio de Educación usando el índice de raíz cuadrada de Hutchens. La muestra final fue de 113 233 estudiantes de 3859 escuelas de 41 distritos de la ciudad capital. Los resultados muestran que las escuelas privadas de bajo costo están incrementando la segregación total tanto para los estudiantes de menos recursos como para los de más recursos. No obstante, la realidad de las escuelas de bajo costo varía significativamente según el distrito, de ahí que destaquen la multidimensionalidad del tema y la importancia de una mirada local para su comprensión. Se presenta evidencia sobre el papel que desempeñan las escuelas privadas de bajo costo en la segregación escolar, la cual impacta en las oportunidades educativas de los niños de familias con bajos ingresos en Lima Metropolitana. Si bien ofrecen una alternativa a las escuelas públicas, es necesario abordar los retos relacionados con la asequibilidad, la calidad y la regulación para maximizar su impacto en el acceso a la educación y la equidad.
Palabras clave: Segregación escolar; enseñanza privada; estatus socioeconómico; Educación Básica; Perú.
Low-fee private schools and their contribution
to school segregation
Abstract
This study aims to identify the role of low-cost private schools in school segregation by socioeconomic status in Lima. To this end, it analyzes microdata from the 4th-grade Primary level of the 2018 Student Census Assessment (ECE) conducted by the Ministry of Education, using Hutchens’ square root index. The final sample consisted of 113,233 students enrolled in 3,859 schools across 41 districts of the capital city. The results show that low-cost private schools are increasing overall segregation for both lower-income and higher-income students. However, the reality of low-cost schools varies significantly by district, highlighting the multidimensional nature of the issue and the importance of a local perspective for its understanding. Thus, the study provides evidence of the role played by low-cost private schools in school segregation, which affects the educational opportunities of children from low-income families in Metropolitan Lima. While these schools offer an alternative to public schools, it is necessary to address challenges related to affordability, quality, and regulation in order to maximize their impact on educational access and equity.
Keywords: School segregation; private education; socioeconomic status; basic education; Peru.
Introducción
En las últimas décadas, se ha evidenciado en varios países de rentas medias y bajas un importante crecimiento de un tipo de escuelas de gestión privada cuya matrícula —o pensión— es muy baja. Son las llamadas escuelas privadas de bajo costo (low-cost private schools), las cuales se presentan como alternativa a las estatales o públicas, aun cuando estas son gratuitas. Además, están dirigidas a atender a un segmento compuesto por familias de bajos ingresos que no pueden pagar las elevadas cuotas de las escuelas privadas, pero que están dispuestas a destinar una parte de sus ingresos a la educación. Estas son un tipo de escuelas que están impulsadas y controladas, inicialmente, por un individuo o por un grupo de individuos, generalmente con fines lucrativos, que ofrecen Educación Básica a cambio de matrículas con cuotas bajas para cubrir los costos operativos y generar ganancias. Sin embargo, las cuotas pueden seguir siendo una carga importante para las familias de escasos recursos. En ese sentido, la definición de “bajo costo” es variable y aún no existe un consenso sobre lo que constituye su asequibilidad (Tooley, 2016; Verger et al., 2017; Zuilkowski et al., 2018).
Efectivamente, desde hace dos décadas, las profundas deficiencias de la educación pública en algunos países de rentas medias y bajas han generado que surja con fuerza esta alternativa privada. Esto está ocurriendo en países como India (Mond & Prakash, 2019); Pakistan (Barrera-Osorio & Raju, 2015); Bangladesh (Richardson, 2018); Indonesia (Rahman, 2016); Kenia (Ohba, 2013; Zuilkowski et al., 2018, 2020); Ghana (Brion, 2020); Tanzania (Sabarwal et al., 2022); Malawi (Grant, 2017); Nigeria (Obiakor, 2025); Zimbabue (Midzi et al., 2021), entre otros. En América Latina, estas escuelas privadas de bajo costo han llegado en los últimos años a países como Argentina (Moschetti, 2018); Brasil (Montes et al., 2020; Siqueira & Nogueira, 2017); Chile (Ruiz, 2018); Colombia (AlWindi, 2015); República Dominicana (Caravaca, Moschetti, Edwards y Bonal, 2024); Honduras (Caravaca et al., 2024; Edwards, Moschetti & Caravaca, 2019); y con mucha fuerza, Perú (Balarin, 2016; Fontdevila et al., 2018, Ministerio de Educación, 2018).
Las escuelas privadas de bajo costo se han propagado en zonas empobrecidas para satisfacer la demanda insatisfecha de acceso a la educación y ofrecer una mejor calidad que las escuelas públicas disponibles a nivel local. Por lo tanto, es frecuente que estas se instalen en asentamientos informales urbanos y en zonas rurales (sobre todo en África y Asia), donde el acceso a las escuelas públicas es limitado (Fontdevila et al., 2018; Ohba, 2013; Walford, 2015; Zuilkowski et al., 2018).
Las familias suelen elegir estas escuelas —en lugar de las públicas— debido a que perciben una mayor calidad (Rodríguez & Saavedra, 2020; Román & Ramírez, 2018; Sanz, 2016; Zuilkowski et al., 2018). Esto plantea un debate acerca de su calidad y de su contribución a la educación (Balarin & Rodríguez, 2025; Espindola, 2020; Phillipson, 2008; Tooley, 2015, 2023; Walker et al., 2016; Wijayanti et al., 2025).
Sobre la mejora real de la calidad, las evidencias son contradictorias. Algunos estudios sugieren que las escuelas de bajo costo pueden ofrecer mejores resultados educativos, mientras que otros indican que no hay diferencias significativas en el rendimiento de los alumnos en comparación con las escuelas públicas (Balabarca, 2017; Crawfurd et al., 2024; Ministerio de Educación, 2018; Zuilkowski et al., 2018, 2020).
En cuanto a la equidad educativa, las investigaciones muestran que este tipo de escuelas podrían incrementar la desigualdad dado que los hijos de familias de hogares no pobres son más propensos a matricularse en escuelas privadas (Grant, 2017). Los factores socioeconómicos, como la riqueza, la educación de los padres y el lugar de residencia son los principales determinantes de la matrícula en estas escuelas. En ese sentido, en tanto las escuelas privadas de bajo costo no llegan a los niños más pobres (especialmente, en las zonas rurales), la desigualdad en el acceso a la educación incrementa (Obiakor, 2025).
Sin embargo, para algunos autores como Tooley (2007), esta oferta de educación privada podría ser beneficiosa para las familias de menos recursos, principalmente en términos de una mayor responsabilidad ante los padres, lo que se traduce en un mayor nivel de compromiso por parte de los maestros. De hecho, para el investigador, la educación con fines de lucro existe en las zonas de bajos ingresos, con niveles de ganancias tales que atraen a los empresarios al mercado, ampliando las opciones para los pobres (Tooley, 2007).
En el caso de Perú, este tipo de escuelas complementan una oferta pública insuficiente en áreas urbanas pobres con rápido crecimiento poblacional. De hecho, la falta de regulación y supervisión por parte del Estado ha permitido que estas escuelas de bajo costo prosperen, la mayoría sin cumplir estándares mínimos de calidad (Balarin & Rodríguez, 2025; Fontdevila et al., 2018; Rodríguez, 2025).
Sobre este tema, Balarin et al. (2018) encontraron que, en Perú, estas escuelas se caracterizan por presentar infraestructura y recursos materiales deficientes, sin ningún tipo de apoyo o acompañamiento. La mayoría de los directores son los dueños o promotores de estas escuelas, y suelen vivir en las cercanías, lo que pone de manifiesto que se trata de un emprendimiento local. Los docentes tienen poca preparación y la mayoría reside en asentamientos humanos, al igual que los estudiantes que asisten a estas escuelas.
Asimismo, existen estudios que muestran que los estudiantes de estas escuelas generalmente obtienen resultados comparables o incluso inferiores a los de las escuelas estatales, sobre todo entre aquellos en condiciones económicas más vulnerables (Balabarca, 2017; Ministerio de Educación, 2018).
Diversos estudios han tratado de entender las consecuencias no deseadas del incremento de la oferta de la educación privada en Perú, como, por ejemplo, la heterogeneidad de la oferta (Balarin et al., 2018; Cuenca, 2013; Cuenca et al., 2019; Fontdevila et al., 2018; Román & Ramírez, 2018; Sanz, 2016, entre otros) y la alta segregación escolar (Balarin & Escudero, 2018; Carrillo & Murillo, 2023; Cuenca et al., 2019; Guiral & Murillo, 2025; Murillo et al., 2020).
Investigaciones recientes sugieren que esta expansión ha intensificado la inequidad, al aumentar la segregación escolar según el nivel socioeconómico, tanto en el país como, en particular, en la ciudad capital (Alonso-Pastor, at al., 2025; Ames, 2021; Balarin, 2016; Carrillo & Murillo, 2021, 2023; Cuenca 2013; Cuenca et al., 2019; Garret et al., 2021). La segregación escolar —entendida como la distribución desbalanceada de los estudiantes en las escuelas—, según sus características personales o condiciones sociales (Murillo, 2016), impacta en las oportunidades educativas de los estudiantes, lo que profundiza las desigualdades en los estudiantes más vulnerables. Sumado a ello, Carrillo y Murillo (2023) identificaron que, en Perú, la segregación escolar por nivel socioeconómico es más pronunciada entre los estudiantes más pobres en el ámbito de la educación privada; por otro lado, entre los estudiantes de mayores ingresos, la segregación se observa principalmente en la oferta pública; no obstante, esta segregación es notablemente menor, con diferencias significativas al interior del país.
La segregación escolar debe comprenderse como un fenómeno estructural que refleja y reproduce las desigualdades sociales presentes en el territorio. En este marco el crecimiento de las escuelas privadas de bajo costo no solo expresa las tensiones entre ampliación de cobertura y equidad, sino que también visibiliza la forma en que las dinámicas del mercado educativo pueden profundizar la fragmentación social y territorial. En el caso peruano, desde una perspectiva de justicia social, el análisis de las escuelas privadas —tanto de bajo como de alto costo— constituye una vía para comprender los mecanismos que sostienen la segregación escolar y sus efectos sobre la igualdad de oportunidades.
Bajo este contexto, siendo el Perú uno de los países latinoamericanos con los mayores índices de segregación escolar por nivel socioecómico en la región (Krüger, 2019; Murillo, 2016; Murillo, Martínez-Garrido y Graña, 2020), y Lima, la ciudad que concentra la mayor proporción de población escolar del país con matrícula privada, surge la pregunta sobre cuál es el rol de las escuelas de bajo costo en la segregación escolar en la ciudad capital. Para responderla, este estudio plantea como objetivo identificar la contribución de las escuelas de bajo costo a la segregación escolar por nivel socioeconómico em Lima.
Método
Para dar respuesta al objetivo del estudio, se hace una explotación de los microdatos de Lima Metropolitana de la Evaluación Censal de Estudiantes (ECE) del año 20181 implementada por el Ministerio de Educación (Minedu, 2019). El estudio utiliza la base de datos de la ECE 2018, penúltima medición nacional desarrollada por el Minedu antes de la pandemia. La elección de esta base responde a su carácter censal y a que forma parte de una serie de análisis realizados en el marco de una investigación doctoral sobre segregación escolar. Esto garantiza la consistencia metodológica y la comparabilidad de los resultados. Además, las evaluaciones posteriores fueron suspendidas o modificadas con la transición hacia la Evaluación Nacional de Logros de Aprendizaje (ENLA).
Así, la investigación ha sido desarrollada con datos de 113 233 estudiantes de 4.o grado de primaria, escolarizados en 3859 escuelas situadas en alguno de los 41 distritos que conforman Lima Metropolitana.
Tabla 1
Número de estudiantes, número de escuelas participantes en el estudio
e Índice Socioeconómico (ISE) de la familia del estudiante promedio según distritos
|
Distrito |
Número de estudiantes |
Número de escuelas |
ISE promedio |
|
Ancón |
863 |
33 |
-0,0462 |
|
Ate Vitarte |
8909 |
307 |
0,5019 |
|
Barranco |
940 |
23 |
1,0458 |
|
Breña |
1198 |
40 |
1,1578 |
|
Carabayllo |
4274 |
156 |
0,3890 |
|
Chaclacayo |
715 |
29 |
0,7738 |
|
Chorrillos |
4899 |
141 |
0,8376 |
|
Cieneguilla |
310 |
13 |
0,2417 |
|
Comas |
6602 |
236 |
0,7035 |
|
El Agustino |
2263 |
69 |
0,5831 |
|
Independencia |
2285 |
74 |
0,6356 |
|
Jesús María |
792 |
23 |
1,4174 |
|
La Molina |
2208 |
61 |
1,3815 |
|
La Victoria |
2033 |
69 |
0,7982 |
|
Lima |
3453 |
122 |
0,8331 |
|
Lince |
498 |
18 |
1,2788 |
|
Los Olivos |
5387 |
185 |
0,9154 |
|
Lurigancho |
3206 |
118 |
0,2518 |
|
Lurín |
1214 |
45 |
0,2545 |
|
Magdalena del Mar |
603 |
21 |
1,3058 |
|
Miraflores |
1365 |
27 |
1,5331 |
|
Pachacamac |
1851 |
54 |
0,0054 |
|
Pucusana |
183 |
8 |
0,1067 |
|
Pueblo Libre |
891 |
27 |
1,3665 |
|
Puente Piedra |
4503 |
177 |
0,3234 |
|
Punta Negra |
103 |
7 |
0,2133 |
|
Rímac |
2112 |
68 |
0,7871 |
|
San Bartolo |
110 |
4 |
0,4342 |
|
San Borja |
819 |
22 |
1,4592 |
|
San Isidro |
862 |
19 |
1,6138 |
|
San Juan de Lurigancho |
14476 |
440 |
0,5687 |
|
San Juan de Miraflores |
4850 |
169 |
0,6486 |
|
San Luis |
812 |
24 |
0,7455 |
|
San Martín de Porres |
7573 |
350 |
0,8061 |
|
San Miguel |
1499 |
61 |
1,2770 |
|
Santa Anita |
3063 |
91 |
0,6714 |
|
Santa Rosa |
216 |
13 |
-0,1688 |
|
Santiago de Surco |
3364 |
100 |
1,3746 |
|
Surquillo |
646 |
23 |
1,1597 |
|
Villa el Salvador |
5380 |
190 |
0,5616 |
|
Villa María del Triunfo |
5903 |
202 |
0,4507 |
|
Total Lima Metropolitana |
113 233 |
3859 |
0,5601 |
Fuente: Elaboración propia a partir de la base de datos ECE 2018 (Minedu-UMC, 2018).
Nota. El número de escuelas de los distritos de Santa María del Mar y Punta Hermosa es insuficiente para el estudio, por lo que se eliminaron del análisis.
La variable criterio utilizada para el estudio es el índice socioeconómico (ISE) de la familia del estudiante y está debidamente tipificada. Según el Minedu (2019), el ISE se calcula a partir de una serie de cuestionarios que exploran el nivel educativo alcanzado por los padres o tutores, así como los servicios disponibles en el hogar, los materiales de construcción, y los activos o posesiones de la vivienda del estudiante.
Para el conjunto de Lima Metropolitana, el 76,09 ٪, de las instituciones educativas de Educación Primaria son privadas. En referencia al cobro de familias por sus servicios, estas se distribuyen en tres grandes grupos.
En la Tabla 2, se muestra la distribución de estas escuelas en función de su costo.
Tabla 2
Distribución de las escuelas de Educación Primaria de Lima Metropolitana
por su costo según distrito
|
Distritos |
Escuelas estales (gratuitas) |
Escuelas privadas |
||
|
Bajo costo (hasta 150 soles) |
Costo medio (entre 151 y 350 soles) |
Alto costo (más de 350 soles) |
||
|
Ancón |
36,36 |
36,36 |
27,27 |
0,00 |
|
Ate Vitarte |
20,59 |
24,18 |
47,39 |
7,84 |
|
Barranco |
39,13 |
0,00 |
39,13 |
21,74 |
|
Breña |
25,64 |
0,00 |
43,59 |
30,77 |
|
Carabayllo |
20,00 |
32,90 |
41,29 |
5,81 |
|
Chaclacayo |
27,59 |
10,34 |
51,72 |
10,34 |
|
Chorrillos |
21,58 |
1,44 |
59,71 |
17,27 |
|
Cieneguilla |
46,15 |
0,00 |
46,15 |
7,69 |
|
Comas |
26,92 |
16,24 |
51,28 |
5,56 |
|
El Agustino |
40,58 |
2,90 |
55,07 |
1,45 |
|
Independencia |
31,94 |
19,44 |
47,22 |
1,39 |
|
Jesús María |
8,70 |
4,35 |
8,70 |
78,26 |
|
La Molina |
16,67 |
0,00 |
13,33 |
70,00 |
|
La Victoria |
31,88 |
0,00 |
42,03 |
26,09 |
|
Lima |
41,32 |
3,31 |
39,67 |
15,70 |
|
Lince |
16,67 |
0,00 |
27,78 |
55,56 |
|
Los Olivos |
18,38 |
7,57 |
57,84 |
16,22 |
|
Lurigancho |
34,75 |
16,10 |
39,83 |
9,32 |
|
Lurín |
33,33 |
17,78 |
46,67 |
2,22 |
|
Magdalena del Mar |
28,57 |
0,00 |
19,05 |
52,38 |
|
Miraflores |
18,52 |
0,00 |
3,70 |
77,78 |
|
Pachacamac |
33,33 |
24,07 |
37,04 |
5,56 |
|
Pucusana |
37,50 |
62,50 |
0,00 |
0,00 |
|
Pueblo Libre |
25,93 |
0,00 |
18,52 |
55,56 |
|
Puente Piedra |
22,41 |
24,14 |
51,72 |
1,72 |
|
Punta Negra |
14,29 |
0,00 |
85,71 |
0,00 |
|
Rímac |
35,29 |
4,41 |
44,12 |
16,18 |
|
San Bartolo |
25,00 |
0,00 |
75,00 |
0,00 |
|
San Borja |
22,73 |
0,00 |
9,09 |
68,18 |
|
San Isidro |
10,53 |
0,00 |
5,26 |
84,21 |
|
San Juan de Lurigancho |
21,28 |
13,27 |
58,81 |
6,64 |
|
San Juan de Miraflores |
25,60 |
11,90 |
55,36 |
7,14 |
|
San Luis |
33,33 |
4,17 |
37,50 |
25,00 |
|
San Martín de Porres |
18,05 |
14,33 |
62,46 |
5,16 |
|
San Miguel |
10,00 |
5,00 |
26,67 |
58,33 |
|
Santa Anita |
23,33 |
3,33 |
67,78 |
5,56 |
|
Santa Rosa |
46,15 |
23,08 |
30,77 |
0,00 |
|
Santiago de Surco |
13,00 |
3,00 |
24,00 |
60,00 |
|
Surquillo |
34,78 |
4,35 |
26,09 |
34,78 |
|
Villa el Salvador |
22,63 |
20,53 |
50,53 |
6,32 |
|
Varia Villa del Triunfo |
21,00 |
21,50 |
55,00 |
2,50 |
|
Total Lima Metropolitana |
23,91 |
13,79 |
48,57 |
13,74 |
Fuente: Elaboración propia a partir de la base de datos ECE 2018 (Minedu-UMC, 2018).
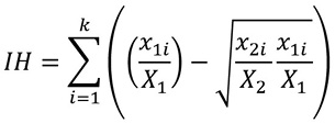
Para calcular los perfiles de segregación escolar por nivel socioeconómico de Lima Metropolitana y sus distritos, se usó el índice de Raíz Cuadrada o índice de Hutchens –IH– (Hutchens, 2004). El IH se calcula sumando el grado de desviación de cada escuela respecto a una situación de igualdad distributiva. Esto implica medir la distancia entre la media geométrica de las participaciones de estudiantes de diferentes niveles socioeconómicos en un escenario sin segregación y la media geométrica de las participaciones reales (Jenkins et al., 2008; Murillo, 2016). Se estima utilizando la siguiente fórmula:
Donde x1i y x2i son el número de alumnos del grupo minoritario y mayoritario, respectivamente, para Lima o cada uno de sus distritos en la escuela i. X1 y X2 corresponden al número total de estudiantes de los grupos minoritario y mayoritario en todas las escuelas de la ciudad o distrito.
Murillo (2016) señala que, gracias a la propiedad de descomposición aditiva de este índice, se puede evaluar la contribución de varios subconjuntos a la segregación total; es decir, se puede dividir la segregación total en sus componentes. Por un lado, se evalúa la magnitud de la segregación dentro de cada subsistema (intra-subsistemas) y, por otro, la segregación generada entre ambos de manera conjunta (inter-subsistemas). El componente “H intra-subsistemas” representa una suma ponderada de la segregación que existe dentro de cada sistema g. Por su parte, el componente “H inter-subsistemas” se interpreta como la proporción de la segregación total que se debe a la distribución desigual por nivel socioeconómico entre los diferentes subsistemas (Murillo, 2016).
En este caso:
Donde,
Con,
Donde west, wpbc, wpcm y wpac es el peso de las escuelas estatales, de bajo costo de costo medio y de bajo costo, respectivamente, Pest y Rest, Ppbc y Rpbc, Ppcm y Rpcm y Ppac y Rpac el número de estudiantes en las escuelas estatales, privadas de bajo costo, privadas de costo medio y privadas de alto costo, respectivamente, con respecto al grupo minoritario y mayoritario P y R.
Para obtener una visión más completa sobre la contribución de las escuelas privadas de bajo costo a la segregación escolar total por nivel socioeconómico en Lima Metropolitana, se consideran 19 grupos minoritarios, comenzando con el 5٪ de los estudiantes provenientes de las familias con menor nivel socioeconómico (P5), seguido del 10٪ (P10), el 15٪ (P15), y así sucesivamente hasta alcanzar el 50٪ (P50) y el 45٪ de mayor nivel (P55), culminando en el 5 ٪ de las familias con mayor nivel (P95). Sin embargo, para el análisis de la contribución en cada distrito, se enfoca en el 25٪ del alumnado de familias con el índice socioeconómico más bajo.
Resultados
Para responder al objetivo del estudio, se descompuso la segregación escolar total entre los subsistemas de escuelas estatales, privadas de bajo, medio y alto costo (Tabla 3). De esta manera, se obtiene que, para el alumnado que pertenece al Cuartil 1 en el ISE (el 25 ٪ de familias con menos recursos), la segregación total de Lima Metropolitana (calculada con el índice de Hutchens) es de 0,25. La de las escuelas estatales es de 0,11; de las escuelas privadas de bajo costo, 0,18; de las escuelas privadas de precio medio, 0,21: y de las escuelas de alto costo, 0,59.
Figura 1
Segregación escolar en Educación Primaria en Lima Metropolitana. Índice H para Q1
Fuente: Elaboración propia a partir de la base de datos ECE 2018 (Minedu-UMC, 2018).
Para una mejor comprensión de estas cifras, la Figura 2 representa gráficamente la distribución de las escuelas de cada tipo en función del porcentaje de estudiantes de ese 25٪ con menos recursos que hay escolarizados en ellas. Así, en las escuelas estatales gratuitas, se encuentra que, como promedio, el 39,8٪ del alumnado es del primer cuartil, y la distribución tiene una forma que se asemeja a una distribución normal, asimétrica a la derecha. Esta distribución generala comentada segregación del 0,11.
En el extremo contrario, para las escuelas privadas de alto costo, cuya segregación llega a 0,59, la distribución es claramente exponencial. Efectivamente, una inmensa mayoría de escuelas no cuenta con ningún estudiante del primer cuartil; hay pocas que sí cuentan con un 5, 10 o 20٪ de estudiantes de esas características; y solo alguna escuela de forma excepcional tiene alguno más. Con ello, el promedio de estudiantes de ese primer cuartil es de apenas un 2,0٪. Su distribución es exponencial extrema. Para las escuelas privadas de costo medio, la distribución sigue siendo exponencial, pero no tan marcada, lo que hace que tenga una segregación del 0,21. El porcentaje promedio de estudiantes del primer cuartil es de 0,14.
Para las escuelas privadas de bajo costo, la situación es una mezcla de ambas distribuciones: similar ajuntar una curva normal y una distribución exponencial. Con ello, la segregación es del 0,18, siendo 31,8 ٪ el promedio de estudiantes del primer cuartil. Es decir, las escuelas de bajo costo, a pesar de acoger a estudiantes con menos recursos, segrega internamente de forma importante, contribuyendo a incrementar la segregación total.
Figura 2
Distribución de las escuelas en función del porcentaje de estudiantes desfavorecidos (Q1) según cada tipo de escuela
|
Escuelas estatales (gratuitas) |
Escuelas privadas de bajo costo |
|
|
|
|
Escuelas privadas de costo medio |
Escuelas privadas de alto costo |
|
|
|
Fuente: Elaboración propia a partir de la base de datos ECE 2018 (Minedu-UMC, 2018).
No obstante, como demostraron Murillo y Martínez-Garrido (2019), estimar la segregación escolar utilizando un único punto de corte (el 25 ٪ del ISE) ofrece una visión restringida y parcial de la realidad. Al incluir un número más amplio de puntos de corte, la segregación se presenta como un perfil en lugar de concentrarse en un solo punto. Bajo esta lógica, se ha estimado la segregación escolar de los cuatro tipos de escuelas en 19 puntos de corte. Esto permite obtener cuatro perfiles de segregación claramente diferenciados (Figura 3).
Figura 3
Perfiles de segregación escolar por nivel socioeconómico en escuelas privadas
de bajo costo, de costo medio y de alto costo de Educación Primaria en Perú.
Índice H para 19 grupos minoritarios
Fuente: Elaboración propia a partir de la base de datos ECE 2018 (Minedu-UMC, 2018).
Así, se puede ver que las escuelas privadas de alto costo son las que generan mayor segregación entre los estudiantes de familias con menor ISE, alcanzando un índice de 0,75 para el 10 ٪ más vulnerable. Le siguen las escuelas de precio medio (0,42) y las de bajo costo (0,29). Las escuelas estatales, con un índice de 0,14, son las que menos segregan.
Si se considera al 25 ٪ de los estudiantes con más recursos, el mayor índice de segregación corresponde a las escuelas privadas de bajo costo (0,30); seguidas por las escuelas de alto costo (0,23); las escuelas estatales (0,20); y, finalmente, las de precio medio (0,15) que presentan el menor índice. Para el 10 ٪ de los estudiantes con más recursos, las escuelas de bajo costo siguen siendo las que más segregan (0,56), seguidas por las escuelas gratuitas (0,46); las de costo medio (0,25); y, por último, las escuelas de alto costo (0,20).
En términos generales, este primer análisis muestra que las escuelas privadas de bajo costo están incrementando la segregación total tanto para los estudiantes de menos recursos como para los de más recursos. No obstante, un según análisis nos muestra que esta realidad general en Lima Metropolitana se matiza cuando se analiza distrito por distrito. Para simplificar, se ha estimado la segregación de los cuatro tipos de escuelas, así como el total, para cada uno de los distritos analizados, tomando como referencia al 25 ٪ de los estudiantes con menos recursos, como se aprecia en la Tabla 3.
Tabla 3
Segregación escolar en Educación Primaria en Lima Metropolitana en cada distrito.
Índice H para Q1
|
Distrito |
Total |
Escuelas estatales |
Escuelas privadas |
|||
|
Total |
de bajo costo |
de costo medio |
de alto costo |
|||
|
Ancón |
0,1715 |
0,1348 |
0,1725 |
0,1699 |
0,1480 |
. |
|
Ate Vitarte |
0,1845 |
0,0507 |
0,2147 |
0,1042 |
0,1290 |
0,4321 |
|
Barranco |
0,2492 |
0,0302 |
0,6085 |
. |
0,4768 |
0,6751 |
|
Breña |
0,2746 |
0,0321 |
0,3740 |
. |
0,3587 |
0,3537 |
|
Carabayllo |
0,1963 |
0,0763 |
0,2056 |
0,0946 |
0,1613 |
0,3797 |
|
Chaclacayo |
0,2054 |
0,0182 |
0,3171 |
0,3702 |
0,2489 |
0,2662 |
|
Chorrillos |
0,2665 |
0,1196 |
0,3617 |
0,0953 |
0,2881 |
0,3791 |
|
Cieneguilla |
0,0925 |
0,0202 |
0,1297 |
0,0000 |
0,1322 |
0,0000 |
|
Comas |
0,1790 |
0,0586 |
0,2479 |
0,1755 |
0,2020 |
0,3859 |
|
El Agustino |
0,1534 |
0,0733 |
0,1945 |
0,3206 |
0,1608 |
. |
|
Independencia |
0,1255 |
0,0458 |
0,1435 |
0,1663 |
0,1394 |
0,2589 |
|
Jesús María |
0,4432 |
0,0073 |
0,5939 |
0,0000 |
0,4778 |
0,6349 |
|
La Molina |
0,5254 |
0,1990 |
0,7241 |
. |
0,2344 |
0,7686 |
|
La Victoria |
0,2471 |
0,0691 |
0,3344 |
. |
0,1980 |
0,4514 |
|
Lima |
0,2324 |
0,0708 |
0,3021 |
0,0851 |
0,2347 |
0,4379 |
|
Lince |
0,3055 |
0,0123 |
0,5725 |
. |
0,3780 |
0,6324 |
|
Los Olivos |
0,2194 |
0,0561 |
0,3264 |
0,1934 |
0,2597 |
0,2821 |
|
Lurigancho |
0,2149 |
0,1305 |
0,2373 |
0,0566 |
0,1831 |
0,4220 |
|
Lurín |
0,1441 |
0,0843 |
0,1008 |
0,2380 |
0,0682 |
0,5615 |
|
Magdalena del Mar |
0,3589 |
0,0220 |
0,6671 |
. |
. |
0,6394 |
|
Miraflores |
0,5179 |
0,0386 |
0,7134 |
. |
. |
0,7100 |
|
Pachacamac |
0,1551 |
0,0234 |
0,1698 |
0,0383 |
0,1529 |
0,6464 |
|
Pucusana |
0,0945 |
0,0144 |
0,0650 |
0,0650 |
. |
. |
|
Pueblo Libre |
0,3988 |
0,0427 |
0,8231 |
. |
0,6612 |
0,8554 |
|
Puente Piedra |
0,1259 |
0,0358 |
0,1125 |
0,1013 |
0,0959 |
0,1752 |
|
Punta Negra |
0,2247 |
0,0000 |
0,3360 |
. |
0,3360 |
. |
|
Rímac |
0,2243 |
0,0920 |
0,3569 |
0,1608 |
0,3169 |
0,3590 |
|
San Bartolo |
0,0798 |
0,0000 |
0,1036 |
. |
0,1036 |
. |
|
San Borja |
0,4470 |
0,1626 |
0,8150 |
. |
0,3876 |
0,8499 |
|
San Isidro |
0,6217 |
0,0139 |
0,6884 |
. |
. |
0,6786 |
|
San Juan de Lurigancho |
0,1679 |
0,0537 |
0,2325 |
0,1046 |
0,1913 |
0,2137 |
|
San Juan de Miraflores |
0,1989 |
0,0735 |
0,2913 |
0,2007 |
0,1929 |
0,5866 |
|
San Luis |
0,1507 |
0,0776 |
0,2974 |
0,0000 |
0,2109 |
0,1887 |
|
San Martín de Porres |
0,2162 |
0,0573 |
0,2917 |
0,2077 |
0,2767 |
0,3547 |
|
San Miguel |
0,5054 |
0,1924 |
0,5660 |
0,2684 |
0,2930 |
0,6041 |
|
Santa Anita |
0,1451 |
0,0168 |
0,1901 |
0,0910 |
0,1770 |
0,1342 |
|
Santa Rosa |
0,4019 |
0,3165 |
0,4104 |
0,6590 |
0,1379 |
. |
|
Santiago de Surco |
0,5401 |
0,1823 |
0,7477 |
0,0676 |
0,3726 |
. |
|
Surquillo |
0,2993 |
0,0182 |
0,6956 |
. |
0,2895 |
0,7308 |
|
Villa el Salvador |
0,1308 |
0,0450 |
0,1829 |
0,1621 |
0,0983 |
0,2747 |
|
Villa María del Triunfo |
0,1543 |
0,0404 |
0,1805 |
0,2366 |
0,1326 |
0,2328 |
|
Total Lima Metropolitana |
0,2520 |
0,1058 |
0,3338 |
0,1808 |
0,2147 |
0,5877 |
Fuente: Elaboración propia a partir de la base de datos ECE 2018 (Minedu-UMC, 2018).
El análisis de la descomposición de la segregación escolar total en cada distrito revela una vez más la gran variabilidad entre ellos. Aunque en la mayoría de los distritos la segregación en las escuelas de bajo costo es mayor que en las escuelas estatales, existen seis distritos donde ocurre lo contrario: la segregación para las instituciones educativas públicas es mayor. Esto sucede en Chorrillos, Cieneguilla, Jesús María, Lurigancho, San Luis y Santiago de Surco. En este último, la diferencia es más pronunciada.
Curiosamente, este fenómeno no parece estar relacionado con la tasa de pobreza del distrito ni con su ubicación geográfica. De hecho, lo más común es que la segregación en las escuelas de bajo costo sea menor que en las escuelas de costo medio, y aún menor que en las de alto costo, como hemos observado en el conjunto de Lima Metropolitana. Sin embargo, esto no es así en todos los distritos. Por ejemplo, en Chaclacayo, la mayor segregación se encuentra en las escuelas de bajo costo (0,37 frente a 0,25 en las de costo medio y 0,27 en las de alto costo); en El Agustino, las escuelas de bajo costo presentan un índice de segregación de 0,32, frente a 0,16 en las de costo medio; y en Villa María del Triunfo, los índices son 0,24, 0,13 y 0,23, respectivamente. En otros distritos, las escuelas de bajo costo están más segregadas que las de costo medio, pero no que las de alto costo.
Los resultados muestran que la realidad de las escuelas de bajo costo varía significativamente según el distrito, lo que destaca la multidimensionalidad del tema y la importancia de una mirada local para su comprensión.
Discusión y conclusiones
Este estudio ha estimado la contribución de las escuelas privadas de bajo costo a la segregación escolar por nivel socioeconómico en la ciudad de Lima. De esta manera, los resultados señalan que la oferta privada de bajo costo no necesariamente acoge a los hijos de las familias más pobres por lo que estas escuelas estarían incrementando la segregación total. Asimismo, los resultados muestran que las escuelas privadas de bajo costo aumentan la segregación total, pero con grandes diferencias el distrito y sus características, especialmente por su nivel socioeconómico.
Si bien la “educación privada de bajo costo” ha sido estudiada con mayor énfasis en los países de África subsahariana y el Sudeste asiático, se pueden encontrar algunos pocos estudios para la región. Así, estos hallazgos guardan coherencia, por una parte, con los de Balarin et al. (2018), Fontdevilla et al. (2018) y Sanz (2016) para la ciudad de Lima; con el Moschetti (2018), para la ciudad de Buenos Aires; y con Edwards et al. (2019), para el caso de Honduras. Estos estudios resaltan que se trata de una oferta privada de menor calidad. Por otra parte, los estudios de Carrillo y Murillo (2021), y de Garret et al. (2021) muestran que, en Lima, los estudiantes de menores recursos tienen una mayor probabilidad de estar rodeados de compañeros de igual estatus socioeconómico, que asisten a escuelas ubicadas en los distritos ubicados en la periferia de la ciudad.
De manera general, estos resultados son coherentes con los hallazgos de Krüger (2019) y Murillo et al. (2020), quienes señalan que, en América Latina, se identifica una relación significativa entre la prevalencia de la educación privada y la segregación en el país: a medida que aumenta el número de estudiantes matriculados en instituciones privadas, también se incrementa la segregación escolar. Las escuelas privadas tienden a concentrar a los estudiantes de mayor nivel socioeconómico, mientras que las escuelas públicas atienden a los que tienen mayor vulnerabilidad.
Esta investigación, como cualquier otra, presenta algunas fortalezas, pero también algunas debilidades que merecen la pena ser destacadas. Su principal fortaleza es que supone el primer estudio que aborda la incidencia en la segregación escolar de las escuelas de bajo costo, y lo hace, además, con datos censales en una zona con una gran expansión de este tipo de escuelas. Se reconoce que, si bien son datos del 2018, su característica censal permite hacer análisis por distrito. De esta forma, ofrece informaciones que pueden ser relevantes para la toma de decisiones para cualquier país o territorio que tenga en la agenda desarrollar este modelo de escuelas.
Las limitaciones de esta investigación se derivan de su enfoque, ya que no es posible captar la magnitud de una realidad tan compleja con esta mirada introductoria. Además, el haberse centrado en Lima Metropolitana y en un momento determinado (previo a la pandemia), limita su capacidad de generalización a otros espacios y momentos, con realidades y momentos históricos diferentes.
Con ello, solo es posible sugerir la necesidad de futuras investigaciones sobre esta realidad tan perjudicial para la calidad y equidad educativa de un país. Así, es necesario contar con datos censales posteriores a la pandemia que permitan estudiar este fenómeno a lo largo del tiempo, su variabilidad y las tendencias, entre otros aspectos. De la misma manera, se hace necesario hacer trabajos de este tipo en otros países y ciudades de América Latina, donde se están extendiendo este tipo de escuelas.
En términos generales, los resultados de esta investigación permiten sostener que las escuelas privadas de bajo costo no estarían contribuyendo a la reducción de las desigualdades educativas, sino que, en términos agregados, reforzarían la segregación escolar por nivel socioeconómico. Si bien su expansión ha sido interpretada como una respuesta de mercado ante la limitada oferta pública, el análisis evidencia que su presencia no ha podido ampliar el acceso educativo de los sectores más vulnerables. Por el contrario, la capacidad de pago, aunque mínima, se configura como un filtro económico que excluye a los hogares de menores recursos y consolida circuitos diferenciados de escolarización. En consecuencia, estas escuelas estarían operando como un mecanismo de segregación tanto para los estudiantes de menores ingresos, confinados a escuelas públicas con mayores carencias, como para los de mayores recursos, que se concentran en establecimientos privados de mejor calidad. Esta dinámica no solo profundizaría la desigualdad de oportunidades, sino que también debilita la cohesión social y el carácter integrador de la educación básica.
No obstante, la heterogeneidad observada entre distritos advierte que los efectos de las escuelas privadas de bajo costo sobre la equidad educativa son multidimensionales y contextualmente dependientes. Esa variabilidad mostraría que el fenómeno de segregación no opera igual en todos los territorios en tanto las condiciones urbanas y sociales de cada distrito median los efectos de las escuelas de bajo costo. En territorios con una débil presencia estatal, estas escuelas podrían representar una alternativa de acceso; en cambio, en zonas urbanas consolidadas, su proliferación respondería más a estrategias de distinción social que a una necesidad de cobertura. Esta variabilidad se convierte en una línea de trabajo para futuras investigaciones, lo que subraya la importancia de adoptar enfoques de análisis y de política educativa de carácter territorial, capaces de articular la regulación de la oferta privada con las condiciones estructurales locales.
En síntesis, el crecimiento de las escuelas privadas de bajo costo plantea tensiones entre ampliación de cobertura y equidad, evidenciando la urgencia de políticas públicas que garanticen la calidad, la supervisión y la integración del sistema educativo bajo el principio de justicia social. Por ello, es fundamental continuar investigando las dinámicas del mercado y la función de la educación privada en los sistemas educativos de la región, en aras de apostar por sistemas educativos más inclusivos.
Los responsables políticos deben considerar el papel de las escuelas privadas de bajo costo en el panorama educativo general y desarrollar estrategias para apoyar a estas escuelas, al tiempo que se garantiza que no aumenten las diferencias en el acceso y la calidad de la educación. Particularmente en Perú es necesario mirar la oferta de las escuelas privadas, con énfasis en las de bajo y alto costo, para entender mejor sus efectos sobre la segregación escolar. Se requiere más y mejor regulación de la oferta privada, así como un mayor énfasis de acciones orientadas a fortalecer la calidad de la oferta estatal. Esto permitirá contar con insumos que contribuyan al diseño de medidas basadas en evidencia, las cuales, a mediano y largo plazo, promoverán la formación de sistemas educativos menos segregados. Así, se garantizará la igualdad de oportunidades sin importar la condición socioeconómica, el origen ni la procedencia de sus estudiantes.
Referencias
Referencias
Alonso-Pastor, A., Olaya Acosta, G., & Calmet, E. (2025). Segregación educativa y desigualdad social en el Perú: un análisis espacial en el nivel secundario. REICE. Revista Iberoamericana sobre Calidad, Eficacia y Cambio en Educación, 23(1), 5-30. https://doi.org/10.15366/reice2025.23.1.001
AlWindi, J. (2015). Low-cost private schools in the slums of Colombia. En S. McGrath & Q. Gu (Eds.), Handbook of international development and education (pp. 200-214). Edward Elgar Publishing.
Ames, P. (2021). Educación, ¿la mejor herencia o el mejor negocio?: La segregación educativa en el Perú y los desafíos para la formación ciudadana. Revista Peruana de Investigación Educativa, 13(15). https://doi.org/10.34236/rpie.v13i15.360
Balabarca, M (2017). Colegios privados de bajo costo ¿Mejor educación a un precio razonable? Aproximación desde los resultados en Matemática en la Evaluación Censal de Estudiantes Pensamiento Crítico, 22(2), 27-44. http://dx.doi.org/10.15381/pc.v22i1.14020.
Balarin, M. (2016). La privatización por defecto y el seguimiento de las escuelas privadas de bajo costo en el Perú. ¿Cuáles son las consecuencias? Revista de la Asociación de Sociología de la Educación, 9(2), 181-196. https://doi.org/10.7203/RASE.9.2.8414
Balarin, M., & Escudero, A. (2018). The ungoverned education market and the deepening of socio-economic school segregation in Peru. En X. Bonal, & C. Bellei (Eds.), Understanding school segregation. Patterns, causes and consequences of spatial inequalities in education (pp. 179-199). Bloomsbury Academic. https://doi.org/10.5040/9781350033542.ch-009
Balarin, M., & Rodríguez, M. F. (2025). The crisis and the market: regulating Peru’s ungoverned private education market. En, A. Zancajo, C. Fontdevila, H. Jabbar & A. Verger (Eds.), Research handbook on education privatization and marketization (pp. 429-443). Edward Elgar.
Balarin, M., Kitmang, J., Ñopo, H., & Rodríguez, M. F. (2018). Mercado privado, consecuencias públicas: los servicios educativos de provisión privada en el Perú. Documentos de Investigación, 89. GRADE.
Barrera-Osorio, F., & Raju, D. (2015). Evaluating the impacts of public student subsidies to low-cost private schools in Pakistan. The Journal of Development Studies, 51(100211), 1-38.
Brion, C. (2020). Low-fee private schools: Case studies from Ghana. International Journal of Education Policy and Leadership, 16(3).
Caravaca, A., Moschetti, M. C., Edwards Jr, D. B., & Bonal, X. (2024). Contrasting trends of low-fee private schools in the Dominican Republic and Honduras: dialectical relationships and the ethos of privatization. En D. B. Edwards Jr., M. C. Moschetti, P. Martin, & R. Morales-Ulloa (Eds.), Education and development in Central America and the Latin Caribbean (pp. 273-291). Bristol University Press. https://doi.org/10.51952/9781529231748.ch013
Carrillo, S., & Murillo, F. J. (2021). Desigualdad socioespacial y segregación escolar en la ciudad de Lima. Revista Peruana de Investigación Educativa, 13(15). https://doi.org/10.34236/rpie.v13i15.362
Carrillo, S., & Murillo, F. J. (2023). Contribución de la educación privada a la segregación escolar en Perú. Apuntes. Revista de Ciencias Sociales, 50(93). https://doi.org/10.21678/apuntes.93.1660
Crawfurd, L., Hares, S., & Todd, R. (2023). The Impact of Private Schools, School Chains and PPPs in Developing Countries. The World Bank Research Observer. https://doi.org/10.1093/wbro/lkad005
Cuenca, R. (2013). La escuela pública en Lima Metropolitana. ¿Una institución en extinción?. Revista Peruana de Investigación Educativa, 5(5), pp. 73–98. https://doi.org/10.34236/rpie.v5i5.34
Cuenca, R., Reátegui, L., & Oré, S. (2019). Itinerarios de la educación privada en Perú. Educação & Sociedade, 40, 1-16. https://doi.org/10.1590/es0101-73302019192469
Edwards Jr, D. B., Moschetti, M. C., & Caravaca Hernández, A. (2019). La educación en Honduras: entre la privatización y la globalización. Internacional de la Educación.
Espindola, J. (2020). Low-fee private schools in developing nations: Some cautionary remarks. Global Justice: Theory Practice Rhetoric, 12(01), 55-77. https://doi.org/10.21248/gjn.12.01.229
Fontdevila, C., Marius, P., Balarin, M., & Rodríguez, M. F. (2018). Educación privada de ‘bajo costo’ en el Perú: un enfoque desde la calidad. Internacional de la Educación.
Garret, P. L., Miranda, L., Marcos, M., & Christiansen, A. (2021). Segregación socioeconómica en las escuelas de Lima Metropolitana. Revista Peruana de Investigación Educativa, 13(15). https://doi.org/10.34236/rpie.v13i15.365
Grant, M. J. (2017). De Facto Privatization and Inequalities in Educational Opportunity in the Transition to Secondary School in Rural Malawi. Social Forces, 96(1), 65–90. http://www.jstor.org/stable/44654262
Guiral, C. y Murillo, F. J. (2025). Segregación público-privada en educación primaria. Un análisis multigrupo de Latinoamérica. Revista Electrónica de Investigación Educativa, Online First. https://doi.org/10.24320/redie.2025.27.of.6500
Hutchens, R. (2004). One measure of segregation. International Economic Review, 45(2), 555-578. https://doi.org/10.1111/j.1468-2354.2004.00136.x
Jenkins, S. P., Micklewright, J., & Schnepf, S. V. (2008). Social segregation in secondary schools: how does England compare with other countries? Oxford Review of Education, 34(1), 21-37. https://doi.org/10.1080/03054980701542039
Krüger, N. (2019). La segregación por nivel socioeconómico como dimensión de la exclusión educativa: 15 años de evolución en América Latina. Archivos Analíticos de Políticas Educativas, 27(8), 1-37. https://doi.org/10.14507/epaa.27.3577
Midzi, S., Sibanda, L., & Mathwasa, J. (2021). Provision of quality education in private schools: Reflective practices in low-cost private secondary schools in Bulawayo Metropolitan Province, Zimbabwe. European Journal of Social Sciences Studies, 6(2). https://doi.org/10.46827/ejsss.v6i2.1016
Ministerio de Educación – Oficina de Medición de la Calidad de los Aprendizajes [Minedu-UMC] (2018). Evaluación Censal de Estudios 2018 [Base de datos]. Oficina de Medición de la Calidad de los Aprendizajes del Ministerio de Educación del Perú. http://umc.minedu.gob.pe/resultados-generales-en-el-tiempo/
Ministerio de Educación. (2018). Tipología y caracterización de las escuelas privadas en el Perú (Estudios Breves N.° 3). Oficina de Medición de la Calidad de los Aprendizajes del Ministerio de Educación del Perú.
Ministerio de Educación. (2019). Reporte técnico de las Evaluaciones Censales y Muestrales de Estudiantes 2018. Oficina de Medición de la Calidad de los Aprendizajes del Ministerio de Educación del Perú.
Mond, H., & Prakash, P. (2019). Motivations to set up and manage low-fee private schools in India. Education Policy Analysis Archives, 27, 134. https://doi.org/10.14507/epaa.27.4361
Montes, C. P., Arrabal, A. A., & de Oliveira-Dri, W. I. (2020). Privatización educativa en Brasil: reinventando las escuelas de bajo costo. Revista Lusófona de Educação, 47(47), 27-41. https://doi.org/10.24140/issn.1645-7250.rle47.02
Moschetti, M. C. (2018). Unfair competition: Exploring state-funded low-fee private schools’ logics of action in Buenos Aires. En G. Steiner-Khamsi & A. Draxler (Eds.), The state, business and education (pp. 85-105). Edward Elgar Publishing. https://doi.org/10.4337/9781788970334.00011
Murillo, F. J. (2016). Midiendo la segregación escolar en América Latina. Un análisis metodológico utilizando el TERCE. REICE. Revista Iberoamericana sobre Calidad, Eficacia y Cambio en Educación, 14(4), 33-60. https://doi.org/10.15366/reice2016.14.4.002
Murillo, F. J., & Martínez-Garrido, C. (2019). Perfiles de segregación escolar por nivel socioeconómico en España y sus Comunidades Autónomas. RELIEVE, 25(1), art. 1. https://doi.org/10.7203/relieve.25.1.12917
Murillo, F. J., Martínez-Garrido, C. & Graña, R. (2020). Escuelas públicas para pobres, escuelas privadas para ricos: Relación entre educación privada y segregación escolar de carácter socio-económico en América Latina. RUNAE, 5, 11-22.
Obiakor, T. E. (2025). Are Low-Cost Private Schools Accessible and Equitable? Examining the Drivers of Public Versus Private Primary School Attendance in Rural and Urban Nigeria. Comparative Education Review, 69(2). https://doi.org/10.1086/735702
Ohba, A. (2012). Do low-cost private school leavers in the informal settlement have a good chance of admission to a government secondary school? A study from Kibera in Kenya. Compare: A Journal of Comparative and International Education, 43(6), 763–782. https://doi.org/10.1080/03057925.2012.733536
Phillipson, B. (Ed.). (2008). Low-cost private education: Impacts on achieving universal primary education. Commonwealth Secretariat. https://doi.org/10.14217/9781848590045-en
Rahman, M. A. (2016). Low-cost private schools (A Case Study in Jakarta). Center for Indonesian Policy Studies.
Richardson, E. (2018). From low-cost to low-fee: BRAC’s transition to a for-profit private school model in Bangladesh. En G. Steiner-Khamsi & A. Draxler (Eds.), The state, business and education (pp. 131-147). Edward Elgar Publishing. https://doi.org/10.4337/9781788970334.00013
Rodríguez, M. F. (2025). Resisting regulation: Revealing orders of worth behind the debate over private education regulation in Peru. Journal of Education Policy, 40(3), 399-418. https://doi.org/10.1080/02680939.2024.2386613
Rodríguez, M. F. y Saavedra, M. (2020). Moviéndose de una decepción a otra: los jóvenes que cambian de escuelas en contextos urbano-vulnerables de Lima Metropolitana. Revista Peruana de Investigación Educativa, 12(12), 217–242. https://doi.org/10.34236/rpie.v12i12.146
Román, A., & Ramírez, A. (2018). ¿El mito sigue vivo? Privatización y diferenciación social en la educación peruana. Instituto de Estudios Peruanos.
Ruiz, C. (Ed.). (2018). Privatización de lo público en el sistema escolar: Chile y la agenda global de educación. Lom Ediciones.
Sabarwal, S., Sununtnasuk, C., & Ramachandran, D. (2022). Low-Cost Private Schools in Tanzania: A Descriptive Analysis. RISE Working Paper Series. 20/044. https://doi.org/10.35489/BSG-RISE-WP_2020/044
Sanz, P. (2016). El tránsito de la escuela pública a la escuela privada en el sector emergente de Lima Metropolitana: ¿Buscando mejor calidad? Revista Peruana de Investigación Educativa, 1(7), 95-125.
Siqueira, A. R., & Nogueira, M. A. de L. G. (2017). Focalizando um segmento específico da rede privada de ensino: escolas particulares de baixo custo. Educação e Pesquisa, 43(4), 1005-1022. https://doi.org/10.1590/s1517-9702201710177139
Tooley, J. (2007). Could for‐profit private education benefit the poor? Some a priori considerations arising from case study research in India. Journal of Education Policy, 22(3), 321–342. https://doi.org/10.1080/02680930701278625
Tooley, J. (2015). Low-cost private schools: what we need to know, do know, and their relevance for education and development. En S. McGrath & Q. Gu (Eds.), Routledge handbook of international education and development (pp. 227-240). Routledge.
Tooley, J., & Longfield, D. (2016). Affordability of private schools: exploration of a conundrum and towards a definition of ‘low-cost.’ Oxford Review of Education, 42(4), 444–459. https://doi.org/10.1080/03054985.2016.1197830
Verger, A., Moschetti, M., & Fontdevila, C. (2017). La privatización educativa en América Latina. Una cartografía de políticas, tendencias y trayectorias. Internacional de la Educación.
Walford, G. (2015). The Globalisation of Low-Fee Private Schools. In: Zajda, J. (eds) Second International Handbook on Globalisation, Education and Policy Research. Springer. https://doi.org/10.1007/978-94-017-9493-0_18
Walker, J., Taneja, A., Abuel-Ealeh, S., & Pearce, C. (2016). Private profit, public loss. Why the push for low-fee private schools is throwing quality education off track. Global Campaign for Education.
Wijayanti, L., Purba, J., Hariandja, E., & Sijabat, R. (2024). Leadership capabilities and organizational culture on the agility of low-cost Islamic education organization. Journal of Infrastructure, Policy and Development. https://doi.org/10.24294/jipd.v8i11.7161
Zuilkowski, S. S., Piper, B., Ong’ele, S., & Kiminza, O. (2018). Parents, quality, and school choice: Why parents in Nairobi choose low-cost private schools over public schools in Kenya’s free primary education era. Oxford Review of Education, 44(2), 258-274. https://doi.org/10.1080/03054985.2017.1391084
Zuilkowski, S., Piper, B., & Ong’ele, S. (2020). Are Low-Cost Private Schools Worth the Investment? Evidence on Literacy and Mathematics Gains in Nairobi Primary Schools. Teachers College Record: The Voice of Scholarship in Education. https://doi.org/10.1177/016146812012200106
1. La ECE 2018 es una de las últimas evaluaciones censales desarrolladas por la Unidad de Medición de la Calidad (UMC) del Ministerio de Educación del Perú.